• 一起环保,要去环保-环保信息网(17环保网)
  • 您的当前位置:环保信息网 >> 资格考试 >> 注册环评工程师 >> 技术方法 >> 模拟试题 >> 2013年环境影响评价《技术方法》专家预测卷二

    2013年环境影响评价《技术方法》专家预测卷二

    来源: 环保信息网切记!信息来至互联网,仅供参考收藏本页2014-09-12
     本文导航
    • 第1页:单项选择题1-10
    • 第2页:单项选择题11-20
    • 第3页:单项选择题21-30
    • 第4页:单项选择题31-40
    • 第5页:单项选择题41-50
    • 第6页:多项选择题51-60
    • 第7页:多项选择题61-70
    • 第8页:多项选择题71-80
    • 第9页:多项选择题81-90
    • 第10页:多项选择题91-100
    一、单项选择题(每题1.00 分)
    1、下列选项中有关环境影响评价说法错误的是( )。
    A.降水人渗补给系数a是指降水人渗量与地下水量之比
    B.按照HJ2.2-2008所推荐的进一步预测模式,输人的地面气象观测资料需要逐曰每天24次的连续观测资料,否则要进行插值处理
    C.环境影响评价是一种过程,这种过程重点在决策和开发建设活动开始前,体现出环境影响评价的预防功能
    D.对于某一具体建设项目,在划分各评价项目的工作等级时,根据建设项目对环境的影响、所在地区的环境特征或当地对环境的特殊要求情况可作适当调整
    【正确答案】A
    2、建设项目环境影响评价工作程序的第一步工作是( )。
    A.确定环境影响评价文件类型
    B.建设项目工程分析
    C.环境质量现状调查
    D.专项评价工作等级划分
    【正确答案】A
    3、一家工业企业每年消耗的新鲜水量为500万t,工艺水回用量110万t,冷却水循环量50万t,污水回用量100万tQ工艺取水量150万t,间接冷却水系统补充水量70万t。那么该企业的工业水重复用水量为( )万t。
    A.260
    B.110
    C.70
    D.100
    【正确答案】A
    4、在统计污染物排放量的过程中,对于技改扩建项目,应算清新老污染源“三本账”,其相互关系表示正确的是( )。
    【正确答案】D
    5、通过全厂物料的投人产出分析核算出无组织排放量的方法叫做( )。
    A.类比法
    B.模拟法
    C.现场实测法
    D.物料衡算法
    【正确答案】D
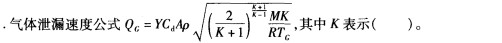
    6、 
    A.裂口面积
    B.气体泄漏系数
    C.气体的绝热指数
    D.气体常数
    【正确答案】C
    7、若某水质因子的监测数据量少,水质浓度变幅大,则实测统计代表值获取的方法应选择( )。
    A.均值法
    B.极值法
    C.模式法
    D.内梅罗法
    【正确答案】B
    8、当对建设项目所在地的自然环境进行调查时,当地形地貌与建设项目密切相关时,除应比较详细地叙述上述全部或部分内容外,还应附建设项目周围地区的( )。
    A.平面图
    B.地理区位图
    C.地形图
    D.土地利用情况图
    【正确答案】C
    9、某监测点总监测数据为50个,其中超标监测数据10个,不符合监测技术规范要求的监测数据5个,未检出的点位数为10个,则超标率是( )。
    A.28.6%
    B.22.2%
    C.25.0%
    D.20.0%
    【正确答案】B
    10、逆温是指温度随高度( )的现象。
    A.无规律变化
    B.减小
    C.不变
    D.增加
    【正确答案】D 环境影响评价工程师 环评工程师 辅导资料 技术方法 模拟试题

    上一篇:2013年环境影响评价《技术方法》专家预测卷四
    下一篇:2013年环境影响评价《技术方法》专家预测卷一
    您看了本文章后的感受是: