含尘气体处理量(重点)
含尘气体处理量是衡量
除尘器处理能力的重要指标,一般用工况体积流量表示
除尘器人口风量加上设备漏风量。针对具体行业要参照行业的设计规范。
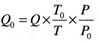
当工况风量换算成标准状态下风量时,方法如下:

式中:QO、TO、Po、一一一标准状态下的流量(m/S)、温度(K)、绝对压力(P
0);Q、T、P——工况状态下的流量(m
3/s)、温度(K)、绝对压力(P
a)。
环保工程师考试
环保工程师 专业知识 专业知识辅导
上一篇:
环保专业二讲义:漏风率
下一篇:
环保专业二讲义:粉尘的自燃性和爆炸性
您看了本文章后的感受是: