• 一起环保,要去环保-环保信息网(17环保网)
  • 您的当前位置:环保信息网 >> 资格考试 >> 注册环保工程师 >> 基础知识 >> 模拟试题 >> 2012年环保工程师公共基础考试全真模拟试题及答案八

    2012年环保工程师公共基础考试全真模拟试题及答案八

    来源: 环保信息网切记!信息来至互联网,仅供参考收藏本页2014-09-12
     本文导航
    • 第1页:试题(51-52)
    • 第2页:试题(53-54)
    • 第3页:试题(55-56)
    • 第4页:试题(57-58)
    • 第5页:试题(59-60)
    • 第6页:试题(61-62)
    • 第7页:试题(63-65)
    • 第8页:试题(66-67)
    • 第9页:试题(68-69)
    • 第10页:试题70
    • 第11页:答案解析(51-53)
    • 第12页:答案解析(54-57)
    • 第13页:答案解析(58-60)
    • 第14页:答案解析(61-63)
    • 第15页:答案解析(64-65)
    • 第16页:答案解析(66-68)
    • 第17页:答案解析(69-70)

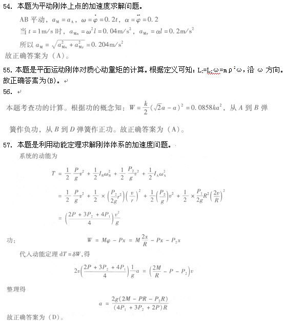
    答案解析(54-57)

    相关信息:

    环保工程师网友在线交流(你问我答)

    2012年环保基础知识模拟试题及答案汇总

    环保工程师考试 环保工程师 基础知识 模拟试题

    上一篇:2012年环保工程师公共基础考试全真模拟试题及答案九
    下一篇:2012年环保工程师公共基础考试全真模拟试题及答案七
    您看了本文章后的感受是: